Questão número 165932

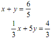
Dado um sistema de equação do primeiro grau na forma 

 

Podemos afirmar que o produto dos valores de x e de y deste sistema é

  • A.

    um número ímpar

  • B.

    um número natural

  • C.

    quando dobrado, igual à unidade.

  • D.

    um número decimal

  • E.

    um quinto do valor da incógnita y.

Próxima Questão
Provas e Concursos

O Provas e Concursos é um banco de dados de questões de concursos públicos organizadas por matéria, assunto, ano, banca organizadora, etc

{TITLE}

{CONTENT}

{TITLE}

{CONTENT}
Provas e Concursos
0%
Aguarde, enviando solicitação!

Aguarde, enviando solicitação...