
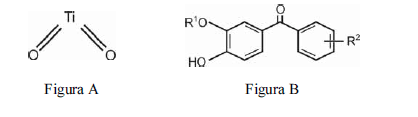
Na busca por um produto para proteção solar eficiente e de aceitação pela população, um pesquisador propôs o uso de um composto já utilizado como filtro solar (figura A) em associação com um derivado de um novo composto que ele acabara de isolar (figura B).
Com referência às estruturas químicas apresentadas nas figuras A e B e à sua atuação como filtro solar, julgue os seguintes itens.
A incorporação do composto representado na figura A em concentrações elevadas em uma base para gel hidrofílico produzirá uma formulação homogênea, translúcida e com propriedades adequadas de espalhamento.{TITLE}
{CONTENT}
{TITLE}
        Aguarde, enviando solicitação...