Lista completa de Questões sobre Sistemas de Controle para resolução totalmente grátis. Selecione os assuntos no filtro de questões e comece a resolver exercícios.
Engenharia Eletrônica - Sistemas de Controle - Centro de Seleção e de Promoção de Eventos UnB (CESPE) - 2007
A programação de microcontroladores pode ser feita em linguagens de alto e baixo nível. Para a programação em alto nível, pode-se, por exemplo, utilizar a linguagem C e um compilador correspondente. Para a programação em baixo nível, utiliza-se a linguagem assembly e o montador correspondente. A programação de baixo nível permite uma interação mais próxima ao hardware do dispositivo. Acerca de programação de microcontroladores, julgue os itens subseqüentes.
Em programação assembly, geralmente os comandos que realizam operações lógicas e aritméticas acessam o registrador acumulador, ou outro registrador associado a esta unidade, utilizando endereçamento do tipo indexado.
Engenharia Eletrônica - Sistemas de Controle - Centro de Seleção e de Promoção de Eventos UnB (CESPE) - 2007
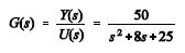
Em controle de processos físicos é essencial conhecer o desempenho dinâmico do processo, ou seja, como este se comporta em função das excitações presentes e passadas. Nesse estudo, é importante determinar as formas de armazenamento de energia do processo e como essa energia é liberada ao longo do tempo. Considere que, dada uma variável de excitação u(t) e uma variável de saída y(t), um processo físico seja caracterizado pela função de transferência G(s) dada a seguir, em que Y(s) e U(s) são as transformadas de Laplace das funções y(t) e u(t), respectivamente.
A partir das informações acima, julgue os itens a seguir.
Esse processo possui dois autovalores com valores numéricos iguais a - 4 + j4 e - 4 - j4, em que  é o número imaginário.
Engenharia Eletrônica - Sistemas de Controle - Centro de Seleção e de Promoção de Eventos UnB (CESPE) - 2007
Em controle de processos físicos é essencial conhecer o desempenho dinâmico do processo, ou seja, como este se comporta em função das excitações presentes e passadas. Nesse estudo, é importante determinar as formas de armazenamento de energia do processo e como essa energia é liberada ao longo do tempo. Considere que, dada uma variável de excitação u(t) e uma variável de saída y(t), um processo físico seja caracterizado pela função de transferência G(s) dada a seguir, em que Y(s) e U(s) são as transformadas de Laplace das funções y(t) e u(t), respectivamente.
A partir das informações acima, julgue os itens a seguir.
Esse processo dinâmico possui ganho estático igual a 50 unidades.
Engenharia Eletrônica - Sistemas de Controle - Centro de Seleção e de Promoção de Eventos UnB (CESPE) - 2007
Em controle de processos físicos é essencial conhecer o desempenho dinâmico do processo, ou seja, como este se comporta em função das excitações presentes e passadas. Nesse estudo, é importante determinar as formas de armazenamento de energia do processo e como essa energia é liberada ao longo do tempo. Considere que, dada uma variável de excitação u(t) e uma variável de saída y(t), um processo físico seja caracterizado pela função de transferência G(s) dada a seguir, em que Y(s) e U(s) são as transformadas de Laplace das funções y(t) e u(t), respectivamente.
A partir das informações acima, julgue os itens a seguir.
O referido processo corresponde a um sistema superamortecido.
Engenharia Eletrônica - Sistemas de Controle - Centro de Seleção e de Promoção de Eventos UnB (CESPE) - 2007
Em controle de processos físicos é essencial conhecer o desempenho dinâmico do processo, ou seja, como este se comporta em função das excitações presentes e passadas. Nesse estudo, é importante determinar as formas de armazenamento de energia do processo e como essa energia é liberada ao longo do tempo. Considere que, dada uma variável de excitação u(t) e uma variável de saída y(t), um processo físico seja caracterizado pela função de transferência G(s) dada a seguir, em que Y(s) e U(s) são as transformadas de Laplace das funções y(t) e u(t), respectivamente.
A partir das informações acima, julgue os itens a seguir.
Em termos de resposta em freqüência, o processo em questão não apresenta pico de ressonância.
Engenharia Eletrônica - Sistemas de Controle - Centro de Seleção e de Promoção de Eventos UnB (CESPE) - 2007
Controle digital de um processo dinâmico corresponde à inserção de um computador em uma malha de controle. O computador terá como tarefa ajustar o desempenho dinâmico do sistema em malha fechada de forma a atender determinadas especificações de desempenho. Os processos físicos a serem controlados se caracterizam por apresentar variáveis analógicas, enquanto no domínio do computador (algoritmo de controle) as variáveis se caracterizam por serem digitais. A respeito das características dos sistemas de controle digital, julgue os próximos itens.
As interfaces analógica/digital e digital/analógica, que traduzem variáveis analógicas em digitais e vice-versa, respectivamente, não têm influência dinâmica na malha de controle.
Engenharia Eletrônica - Sistemas de Controle - Centro de Seleção e de Promoção de Eventos UnB (CESPE) - 2007
Controle digital de um processo dinâmico corresponde à inserção de um computador em uma malha de controle. O computador terá como tarefa ajustar o desempenho dinâmico do sistema em malha fechada de forma a atender determinadas especificações de desempenho. Os processos físicos a serem controlados se caracterizam por apresentar variáveis analógicas, enquanto no domínio do computador (algoritmo de controle) as variáveis se caracterizam por serem digitais. A respeito das características dos sistemas de controle digital, julgue os próximos itens.
Considere que um processo discreto no tempo seja representado matematicamente por sua seqüência de ponderação, ou resposta à função delta de Kronecker. Nesse caso, a partir dessa representação, é possível obter a função de transferência do referido processo, pela aplicação direta da transformada Z.
Engenharia Eletrônica - Sistemas de Controle - Centro de Seleção e de Promoção de Eventos UnB (CESPE) - 2007
Controle digital de um processo dinâmico corresponde à inserção de um computador em uma malha de controle. O computador terá como tarefa ajustar o desempenho dinâmico do sistema em malha fechada de forma a atender determinadas especificações de desempenho. Os processos físicos a serem controlados se caracterizam por apresentar variáveis analógicas, enquanto no domínio do computador (algoritmo de controle) as variáveis se caracterizam por serem digitais. A respeito das características dos sistemas de controle digital, julgue os próximos itens.
Os algoritmos de controle digital implementam diretamente equações diferenciais e funções de transferências no domínio de Laplace.
Engenharia Eletrônica - Sistemas de Controle - Centro de Seleção e de Promoção de Eventos UnB (CESPE) - 2007
Controle digital de um processo dinâmico corresponde à inserção de um computador em uma malha de controle. O computador terá como tarefa ajustar o desempenho dinâmico do sistema em malha fechada de forma a atender determinadas especificações de desempenho. Os processos físicos a serem controlados se caracterizam por apresentar variáveis analógicas, enquanto no domínio do computador (algoritmo de controle) as variáveis se caracterizam por serem digitais. A respeito das características dos sistemas de controle digital, julgue os próximos itens.
Considere que um processo discreto linear tenha por representação entrada/saída a função de transferência a seguir.
Nesse caso, o referido processo é caracterizado pela equação discreta y(k) + a1y(k - 1) = b0u(k) + b1u(k - 1), em que {y(k)} e {u(k)} são as seqüências de saída e entrada, respectivamente, com amostras y(k) = 0 e u(k) = 0, para k < 0.
Engenharia Eletrônica - Sistemas de Controle - Centro de Seleção e de Promoção de Eventos UnB (CESPE) - 2007
Controle digital de um processo dinâmico corresponde à inserção de um computador em uma malha de controle. O computador terá como tarefa ajustar o desempenho dinâmico do sistema em malha fechada de forma a atender determinadas especificações de desempenho. Os processos físicos a serem controlados se caracterizam por apresentar variáveis analógicas, enquanto no domínio do computador (algoritmo de controle) as variáveis se caracterizam por serem digitais. A respeito das características dos sistemas de controle digital, julgue os próximos itens.
Considere que a função de transferência de um sistema discreto no tempo seja conhecida. Nesse caso, para uma dada seqüência de entrada, é possível obter a seqüência de saída desse sistema realizando uma operação de convolução discreta entre a seqüência de entrada e a função de transferência.
{TITLE}
{CONTENT}
{TITLE}
 
        Aguarde, enviando solicitação...