Lista completa de Questões de Farmácia do ano 2015 para resolução totalmente grátis. Selecione os assuntos no filtro de questões e comece a resolver exercícios.
Farmácia - Medicamentos e tratamentos clínicos - Centro de Seleção e de Promoção de Eventos UnB (CESPE) - 2015
Os compostos hidróxido de magnésio e carbonato de cálcio estão envolvidos nas seguintes reações químicas:

Considerando essas informações, julgue os itens subsecutivos.
O carbonato de cálcio causa constipação intestinal, ação considerada para contrabalançar o efeito laxativo do hidróxido de magnésio.Farmácia - Medicamentos e tratamentos clínicos - Centro de Seleção e de Promoção de Eventos UnB (CESPE) - 2015
Os compostos hidróxido de magnésio e carbonato de cálcio estão envolvidos nas seguintes reações químicas:

Considerando essas informações, julgue os itens subsecutivos.
Os compostos hidróxido de magnésio e carbonato de cálcio atuam bloqueando os receptores muscarínicos da célula parietal do estômago e inibindo, portanto, a secreção de ácido clorídrico.
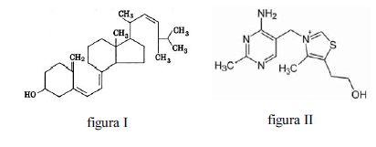
As fórmulas estruturais representadas nas figuras I e II correspondem às vitaminas calciferol e tiamina, respectivamente. Considerando essas informações, julgue os itens seguintes.
A vitamina representada na figura I é solúvel em água e, após a absorção, é armazenada no fígado.
As fórmulas estruturais representadas nas figuras I e II correspondem às vitaminas calciferol e tiamina, respectivamente. Considerando essas informações, julgue os itens seguintes.
Pessoas que apresentam deficiência da vitamina representada na figura II podem demonstrar sintomas como cansaço, irritabilidade, perda da memória e do apetite, perturbações do sono, mal-estar abdominal e perda de peso.
As fórmulas estruturais representadas nas figuras I e II correspondem às vitaminas calciferol e tiamina, respectivamente. Considerando essas informações, julgue os itens seguintes.
A figura II mostra uma vitamina hidrossolúvel que, após ser ingerida na alimentação, é absorvida pelo intestino e transportada pelo sistema circulatório para os tecidos.
As fórmulas estruturais representadas nas figuras I e II correspondem às vitaminas calciferol e tiamina, respectivamente. Considerando essas informações, julgue os itens seguintes.
A vitamina mostrada na figura I é obtida exclusivamente por meio de alimentação e está presente principalmente em vegetais folhosos de cor escura.Acerca dos aspectos farmacológicos relativos às drogas de abuso, julgue os itens a seguir. A excitação causada pelo tabagismo está ligada à ativação de receptores muscarínicos da acetilcolina por parte da nicotina.
Acerca dos aspectos farmacológicos relativos às drogas de abuso, julgue os itens a seguir. O tetraidrocanabinol (THC), principal constituinte ativo da maconha, atua no sistema nervoso central, produzindo tanto efeitos centrais (analgesia, aumento de apetite) quanto periféricos (vasodilatação, taquicardia).
Acerca dos aspectos farmacológicos relativos às drogas de abuso, julgue os itens a seguir. A dependência química e psicológica observada entre os usuários de maconha é superior à associada ao abuso de etanol, resultando na urgência compulsiva da ingestão da droga.
Acerca dos aspectos farmacológicos relativos às drogas de abuso, julgue os itens a seguir. Por sua característica altamente lipossolúvel, os compostos canabinoides atuam farmacologicamente de maneira semelhante aos analgésicos gerais, ligando-se até ao mesmo tipo de receptor celular.
{TITLE}
{CONTENT}
{TITLE}
 
        Aguarde, enviando solicitação...