Lista completa de Questões de Engenharia Elétrica da Centro de Seleção e de Promoção de Eventos UnB (CESPE) para resolução totalmente grátis. Selecione os assuntos no filtro de questões e comece a resolver exercícios.
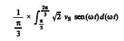
A figura I acima mostra o diagrama de um retificador trifásico não-controlado de onda completa em ponte que está funcionando perfeitamente. Esse retificador é alimentado por um transformador trifásico, com relação de transformação igual a 1:1, a partir de uma fonte trifásica senoidal equilibrada com tensão nominal de linha igual a vS. A figura II mostra os gráficos das formas de onda de algumas grandezas elétricas importantes do referido retificador. Considerando essas informações, julgue os seguintes itens.
O valor médio da tensão de saída v0 pode ser calculado pela expressão a seguir.
Engenharia Elétrica - Máquinas Elétricas - Centro de Seleção e de Promoção de Eventos UnB (CESPE) - 2004
Considere que um gerador CC em conexão shunt, com armadura girante e enrolamento de interpólo, opere a plena carga, fornecendo tensão nominal a uma carga puramente resistiva. Considere ainda que o acionamento do eixo do gerador seja feito por um motor síncrono trifásico de 8 pólos, alimentado por uma fonte trifásica equilibrada de 60 Hz. Com relação a essa situação, julgue os itens seguintes.
Na situação descrita, o motor síncrono opera com fator de potência capacitivo, pois aciona uma máquina CC.
Engenharia Elétrica - Processamento Digital de Sinais - Centro de Seleção e de Promoção de Eventos UnB (CESPE) - 2004
Acerca da teoria e prática do projeto de filtros elétricos, julgue os itens subseqüentes.
A aproximação por polinômios de Butterworth é usada quando a ênfase de projeto está na uniformidade da resposta em freqüência na banda passante, enquanto a aproximação por polinômios de Chebyshev permite uma queda mais abrupta da resposta na banda de rejeição, às custas de oscilações na resposta em freqüência na banda passante.
A NR-6 é a norma regulamentadora que trata de equipamento de proteção individual (EPI) e estabelece várias prescrições. A respeito desse assunto, julgue os itens que se seguem.
EPI é todo dispositivo ou produto de uso individual utilizado pelo trabalhador, destinado à proteção contra riscos que podem ameaçar a segurança e a saúde no trabalho. Em todas as circunstâncias, o EPI adequado deve ser fornecido gratuitamente pelo empregador ao empregado, em perfeito estado de conservação e funcionamento, cabendo ao empregado decidir se o utilizará ou não, em razão de sua experiência e da confiança que tem em sua própria habilidade.
Engenharia Elétrica - Máquinas Elétricas - Centro de Seleção e de Promoção de Eventos UnB (CESPE) - 2004
Considere que um transformador monofásico de 1 MVA, 69 kV/15 kV, Z = X = 10%, 60 Hz e capacidade de sobrecarga de 25% tenha sido conectado a outros dois transformadores idênticos a ele na constituição de um banco trifásico abaixador de tensão de configuração Dy1. Esse banco trifásico de transformadores alimenta um motor de indução trifásico com rotor em gaiola. A respeito da situação descrita, julgue os itens subseqüentes.
Para o banco trifásico de transformadores, Z = X = 30%.
Engenharia Elétrica - Processamento Digital de Sinais - Centro de Seleção e de Promoção de Eventos UnB (CESPE) - 2004
Acerca da teoria e prática do projeto de filtros elétricos, julgue os itens subseqüentes.
No projeto de filtros digitais, é comum começar com um filtro analógico que atenda às especificações e realizar uma transformação da função de transferência para implementação digital. Uma das transformações utilizadas, denominada invariância impulsiva, garante que as respostas em freqüência do filtro digital e do filtro analógico sejam exatamente as mesmas.
A NR-6 é a norma regulamentadora que trata de equipamento de proteção individual (EPI) e estabelece várias prescrições. A respeito desse assunto, julgue os itens que se seguem.
Os EPIs incluem capacete, capuz, óculos, máscara, protetor auditivo, respirador, luva, meia, perneira, calça e macacão.
Engenharia Elétrica - Máquinas Elétricas - Centro de Seleção e de Promoção de Eventos UnB (CESPE) - 2004
Considere que um transformador monofásico de 1 MVA, 69 kV/15 kV, Z = X = 10%, 60 Hz e capacidade de sobrecarga de 25% tenha sido conectado a outros dois transformadores idênticos a ele na constituição de um banco trifásico abaixador de tensão de configuração Dy1. Esse banco trifásico de transformadores alimenta um motor de indução trifásico com rotor em gaiola. A respeito da situação descrita, julgue os itens subseqüentes.
A tensão nominal do primário do banco trifásico de transformadores é de 69 kV.
Engenharia Elétrica - Processamento Digital de Sinais - Centro de Seleção e de Promoção de Eventos UnB (CESPE) - 2004
Acerca da teoria e prática do projeto de filtros elétricos, julgue os itens subseqüentes.
Uma questão de interesse prático é a sensibilidade do projeto a variações de componentes. Mesmo que teoricamente satisfaça à especificação, um filtro que dependa de valores precisos dos componentes tem pouca chance de funcionar. Em circuitos RC, por exemplo, é desejável do ponto de vista prático que resistências e capacitâncias tenham variações opostas com a temperatura.
Engenharia Elétrica - Proteção do Sistema de Energia - Centro de Seleção e de Promoção de Eventos UnB (CESPE) - 2004
Considere que chaves-fusíveis tenham sido instaladas em um circuito primário de uma rede aérea de distribuição que atende a uma instalação portuária. Com relação a essas situação, julgue os itens que se seguem.
Em instalações portuárias, esse tipo de chave deve ser instalado como elemento de proteção contra sobrecargas, principalmente porque há um elevado número de atividades que fazem uso de equipamentos, tais como esteiras transportadoras.
{TITLE}
{CONTENT}
{TITLE}
Aguarde, enviando solicitação...