Questões de Engenharia Mecânica do ano 2005

Lista completa de Questões de Engenharia Mecânica do ano 2005 para resolução totalmente grátis. Selecione os assuntos no filtro de questões e comece a resolver exercícios.

Um motor de combustão interna é refrigerado por um fluido com calor especifico a pressão constante de 4,00 kJ/kg.K. O motor desenvolve 60 kW de potência útil e 30% de eficiência térmica, e a potência despendida para os gases de descarga e forças de atrito interna são de 90 kW. Sendo de 5°C a diferença de temperatura entre o gás do motor e o fluido refrigerante, pode-se afirmar que a vazão da bomba de arrefecimento (m') é de:

  • A. m' = 25 kg/s.
  • B. m' = 2,5 kg/s.
  • C. m' = 10 kg/s.
  • D. m' = 50 kg/s.

Com relação aos motores de combustão interna utilizados nos veículos, pode-se afirmar que:

  • A. Motores a álcool, gasolina, diesel e GNV funcionam por ignição por centelha.
  • B. Motores a gasolina funcionam por ignição por compressão.
  • C. Motores a diesel funcionam por ignição por centelha.
  • D. Motores a gasolina funcionam por ignição por compressão.

Quanto aos processos envolvidos em um ciclo de motor de combustão interna quatro tempos, pode-se afirmar que:

  • A.

    o sistema realiza trabalho nas etapas de admissão e expansão.

  • B.

    na etapa de descarga, ocorre a elevação da pressão no interior do cilindro.

  • C.

    na etapa de compressão, ocorre a combustão, gerando potência para realizar trabalho.

  • D. na etapa de compressão, ar atmosférico é admitido para o interior do cilindro, para posterior combustão.

Analise a figura abaixo:
Todas as afirmativas estão corretas, EXCETO:

  • A.

    A tubulação de sucção é conectada à bomba através de uma redução excêntrica.

  • B.

    Ho é o desnível entre o nível do fluido no reservatório de sucção e o nível do fluido no reservatório de recalque.

  • C.

    A válvula de pé com crivo, instalada ao pé da tubulação de sucção, tem como função permitir a passagem do fluido apenas em fluxo ascendente.

  • D.

    A altura manométrica (Hman) é a energia que deve ser absorvida por 1 kg de fluido para que ele vença o desnível da instalação, a diferença de pressão entre os reservatórios e a perda de carga.

Corrosão é a deterioração e perda de um material devido a um ataque químico. As condições que favorecem a corrosão envolvem tanto alterações químicas quanto eletrônicas e sempre estão presentes no dia-a-dia, tornando-a um grande problema em qualquer sistema. Um tipo específico de corrosão é a intergranular, ou seja, quando a corrosão ocorre nos contornos de grãos em aços. Sabe-se que existem vários métodos para se inibir esse tipo de corrosão, entre eles, pode-se citar:

  • A.

    Seleção de aço de alto teor de Carbono (geralmente entre 0,1% e 0,5%), pois, além de ser um aço comum, isso praticamente elimina a precipitação de carbetos nos contornos de grão.

  • B.

    Recozimento extremamente curto na faixa de temperaturas de separação de carbetos. Método pouco empregado, pois o aumento na resistência à corrosão é relativamente pequeno.

  • C.

    Seleção de um aço com baixo teor de crômio. Um aço com 1% de crômio sofre corrosão menos facilmente que um aço carbono comum. A adição de teores mais elevados de crômio e níquel diminui ainda mais a resistência à corrosão.

  • D.

    Seleção de um aço com fortes formadores de carbetos. Entre estes elementos tem-se o titânio, nióbio e tântalo. Nesses aços o carbono não precipita nos contornos de grão, pois já precipitou antes como carbeto de titânio, de tântalo ou de colúmbio em temperaturas mais elevadas.

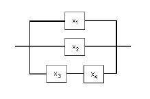
Uma das maneiras encontradas para aumentar a confiabilidade de um sistema é o emprego de peças / sub-sistemas que atuam em um arranjo em paralelo (redundância em standby). Para o sistema mecânico representado abaixo, sendo p a confiabilidade de cada componente e sendo todos os componentes idênticos e independentes, a expressão que representa a confiabilidade total do sistema (Rs) é:


  • A. Rs = (p2 – p3 + p4)
  • B. Rs = (2.p2 + p3 – p4)
  • C. Rs = (2.p2 + p3 – p4)
  • D. Rs = (2.p2 + p3 – p4) - 1

Deseja-se girar uma barra homogênea simétrica de comprimento L e massa m. Para uma certa condição de uso (velocidade de rotação e aceleração angular), calculou-se que seria necessária uma potência P1, se o motor for acoplado no centro de massa, CG, dessa barra (configuração a). Qual seria a nova potência necessária P2, para as mesmas condições de uso, caso o motor fosse acoplado em uma das extremidades da barra, a uma distância L/2 do CG da barra (configuração b)?


  • A. P2 = 4. P1
  • B. P2 = 4. P1
  • C. P2 = 3. P1
  • D. P2 = 3. P1

Em um galpão onde são executadas pinturas à pistola, um estudo estatístico está sendo desenvolvido em relação à concentração de tolueno. As amostras da concentração desta substância foram:

A variância da amostra acima é de, aproximadamente:

  • A. S2 = 6,5 ppm2
  • B. S2 = 6,9 ppm2
  • C. S2 = 7,0 ppm2
  • D. S2 = 8,0 ppm2

Uma carga de 15 Kg é fixa a um cabo inextensível que é preso a um tambor uniforme de massa 40 kg e diâmetro, 600 mm. No instante mostrado na figura, a carga está descendo a uma velocidade de 9 m/s. Qual é o intervalo que contém valor do torque frenante, T, necessário para que a carga pare após descer 3 m? Considere a aceleração da gravidade g = 9,81 m/s2, o momento de inércia do tambor I = ½ .(mtambor.rtambor 2) e despreze quaisquer perdas devido a qualquer atrito.


  • A. 100 N.m £ T < 175 N.m
  • B. 175 N.m £ T £ 210 N.m
  • C.

    50 N.m £ T < 100 N.m

  • D.

    210 N.m < T £ 300 N.m

Analise a lógica estruturada apresentada a seguir, considerando que C1, C2, K e CONT são valores inteiros e que N = 3.

A alternativa que indica o que é mostrado ao usuário como resultado é:

  • A. 1, 2, 3
  • B. 1, 1, 1
  • C. 1, 1, 2
  • D. "Não há termos a mostrar"
Provas e Concursos

O Provas e Concursos é um banco de dados de questões de concursos públicos organizadas por matéria, assunto, ano, banca organizadora, etc

{TITLE}

{CONTENT}

{TITLE}

{CONTENT}
Provas e Concursos
0%
Aguarde, enviando solicitação!

Aguarde, enviando solicitação...