Lista completa de Questões de Engenharia Química da Centro de Seleção e de Promoção de Eventos UnB (CESPE) para resolução totalmente grátis. Selecione os assuntos no filtro de questões e comece a resolver exercícios.
As emulsões fotográficas, usadas para recobrir filmes fotográficos, contêm brometo de prata e pequenas quantidades de iodeto de prata. Quando o filme é exposto à luz, íons brometo são oxidados fotoquimicamente, levando à liberação de elétrons que serão capturados pelos íons Ag+, ocasionando sua redução a Ag0. Durante o processo de revelação do filme, usa-se uma solução de tiossulfato de sódio. O íon tiossulfato é um poderoso agente complexante para íons prata, levando, assim, os íons que não foram reduzidos fotoquimicamente a se dissolverem na forma do íon complexo [Ag(S2O3)2]3. A prata metálica, Ag0, não reage com o tiossulfato, ficando no filme, levando à formação do negativo da imagem. A partir dessas informações e considerando os dados M(AgBr) = 187,8g/mol, M(AgI) = 234,8 g/mol, M[Ag(S2O3)2]3 = 332,1 g/mol e RT/F = 0,06 V, julgue os itens abaixo, sabendo que os produtos de solubilidade do AgBr e do AgI são, respectivamente, 5,3 × 1013 e 8,3 × 1017.
Sabendo que a constante de formação do íon complexo [Ag(NH3)2]+ é 1,5 × 107, o menor volume de solução de NH3 1,0 mol/L para dissolver 50 mg de AgBr de uma amostra é 9,5 mL.

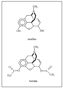
A figura acima mostra as estruturas da morfina e da heroína. A morfina é um potente narcótico, presente na seiva seca da papoula (ópio). A heroína, um derivado da morfina (diacetilmorfina), é uma das drogas ilícitas mais viciadoras. Julgue os itens abaixo, tendo em vista as estruturas dessas substâncias.
Todos os átomos de oxigênio da morfina podem atuar como bases de BrNnsted-Lowry frente a espécies como o íon H+.
Os métodos titulométricos que podem ser usados na determinação de ácidos incluem a titulação volumétrica de neutralização — com o uso de indicadores universais — a titulação potenciométrica e a titulação condutimétrica. Um dos problemas afetos à adulteração de produtos alimentícios envolve a adulteração de vinagre pela adição de ácido clorídrico. Acerca desse assunto e sabendo que o valor de pKa para o ácido acético é 4,74, julgue os seguintes itens.
É impossível determinar separadamente os teores de ácido acético e ácido clorídrico presentes em uma amostra de vinagre adulterada por titulação volumétrica de neutralização, usando-se fenolftaleína como indicador e uma solução-padrão de hidróxido de sódio.

A figura acima mostra as estruturas da morfina e da heroína. A morfina é um potente narcótico, presente na seiva seca da papoula (ópio). A heroína, um derivado da morfina (diacetilmorfina), é uma das drogas ilícitas mais viciadoras. Julgue os itens abaixo, tendo em vista as estruturas dessas substâncias.
O pentaclorofenol, um preservativo de madeira, é um ácido mais forte que o fenol, pois sua base conjugada é extremamente estabilizada pelo efeito indutivo retirador de elétrons dos átomos de cloro.Os métodos titulométricos que podem ser usados na determinação de ácidos incluem a titulação volumétrica de neutralização — com o uso de indicadores universais — a titulação potenciométrica e a titulação condutimétrica. Um dos problemas afetos à adulteração de produtos alimentícios envolve a adulteração de vinagre pela adição de ácido clorídrico. Acerca desse assunto e sabendo que o valor de pKa para o ácido acético é 4,74, julgue os seguintes itens.
A curva de titulação condutométrica de uma amostra de vinagre adulterado, com solução-padrão de NaOH, irá mostrar dois segmentos de reta, cuja interseção corresponde ao volume de base necessário para neutralizar o HC e o ácido acético.

A figura acima mostra as estruturas da morfina e da heroína. A morfina é um potente narcótico, presente na seiva seca da papoula (ópio). A heroína, um derivado da morfina (diacetilmorfina), é uma das drogas ilícitas mais viciadoras. Julgue os itens abaixo, tendo em vista as estruturas dessas substâncias.
Clorofluorcarbonetos (CFCs), muito usados até pouco tempo como propelentes de aerossóis, são compostos derivados do metano ou do etano, em que todos os átomos de hidrogênio foram substituídos por átomos de cloro ou flúor. Apesar da baixa toxicidade em humanos, os CFCs acumulam-se na estratosfera e destroem a camada de ozônio. Enquanto o CH2C2 (diclorometano) é um líquido a temperatura ambiente, o CC2F2 (dicloro-difluorometano) é um gás nas mesmas condições, pois possui um momento de dipolo total menor que o diclorometano, reduzindo as forças de interação intermoleculares.Os métodos titulométricos que podem ser usados na determinação de ácidos incluem a titulação volumétrica de neutralização — com o uso de indicadores universais — a titulação potenciométrica e a titulação condutimétrica. Um dos problemas afetos à adulteração de produtos alimentícios envolve a adulteração de vinagre pela adição de ácido clorídrico. Acerca desse assunto e sabendo que o valor de pKa para o ácido acético é 4,74, julgue os seguintes itens.
Na titulação potenciométrica de ácido acético com solução-padrão de NaOH, usando-se um eletrodo de membrana de vidro, o pH medido para o ponto de equivalência corresponde a 4,74.

A figura acima mostra as estruturas da morfina e da heroína. A morfina é um potente narcótico, presente na seiva seca da papoula (ópio). A heroína, um derivado da morfina (diacetilmorfina), é uma das drogas ilícitas mais viciadoras. Julgue os itens abaixo, tendo em vista as estruturas dessas substâncias.
Sabendo que a água é um dos nucleófilos mais abundantes no meio ambiente, reações de substituição nucleofílica em haletos de alquila primários, do tipo R–C, ocorrem muito lentamente, pois, além de a água ser um nucleófilo relativamente fraco para reagir por um mecanismo do tipo SN1, haletos primários raramente reagem por um mecanismo do tipo SN2, pois carbocátions primários são relativamente pouco estáveis.
Os métodos titulométricos que podem ser usados na determinação de ácidos incluem a titulação volumétrica de neutralização — com o uso de indicadores universais — a titulação potenciométrica e a titulação condutimétrica. Um dos problemas afetos à adulteração de produtos alimentícios envolve a adulteração de vinagre pela adição de ácido clorídrico. Acerca desse assunto e sabendo que o valor de pKa para o ácido acético é 4,74, julgue os seguintes itens.
Quando se titula uma solução contendo ácido forte com solução de NaOH na presença de fenolftaleína, a mudança de cor que ocorre, quando o pH da solução já neutralizada é superior ao pH do ponto de equivalência, corresponde à passagem de incolor para róseo pálido.

A atividade biológica produzida por uma substância não depende da complexidade estrutural de suas moléculas. A natureza é rica em exemplos de moléculas estruturalmente bem simples e com propriedades biológicas muito variadas. Por exemplo, muitos insetos produzem substâncias denominadas feromônios, para fins de comunicação entre os membros da mesma espécie em situações de reconhecimento, defesa, marcação de trilhas, atividades reprodutivas. A pesquisa sobre a existência de feromônios em mamíferos tem atraído a atenção de muitos estudiosos no assunto. A figura acima ilustra alguns feromônios. Acerca dessas substâncias, julgue os itens seguintes.
Em reações de adição nucleofílica, sob mesmas condições reacionais, a carbonila da 2–heptanona é mais reativa que a carbonila do undecanal.
{TITLE}
{CONTENT}
{TITLE}
Aguarde, enviando solicitação...