Lista completa de Questões de Estatística do ano 2010 para resolução totalmente grátis. Selecione os assuntos no filtro de questões e comece a resolver exercícios.

A figura acima ilustra um tabuleiro de xadrez, em que ai, j representa a casa do tabuleiro localizada na linha i e na coluna j. Uma pedra é inicialmente colocada na casa ai, j, uma das 64 casas do tabuleiro. Em seguida (passo 1), a pedra é movimentada, aleatoriamente, para uma das posições vizinhas: ai,1, j; ai + 1, j; ai, j - 1 ou ai, j + 1, e assim sucessivamente para os passos seguintes. Com isso, em cada passo, a pedra pode ser movimentada para uma das posições vizinhas permitidas. A escolha das posições vizinhas para onde a pedra poderá ser movimentada é feita com probabilidades iguais, dependendo do número de posições permitidas. Com base nessas informações, julgue os itens seguintes.
Se o movimento da pedra é iniciado na posição a2, 2 , então a probabilidade de ela ser encontrada na posição a6, 6 depois do 8.o passo é igual a 

A figura acima ilustra um tabuleiro de xadrez, em que ai, j representa a casa do tabuleiro localizada na linha i e na coluna j. Uma pedra é inicialmente colocada na casa ai, j, uma das 64 casas do tabuleiro. Em seguida (passo 1), a pedra é movimentada, aleatoriamente, para uma das posições vizinhas: ai,1, j; ai + 1, j; ai, j - 1 ou ai, j + 1, e assim sucessivamente para os passos seguintes. Com isso, em cada passo, a pedra pode ser movimentada para uma das posições vizinhas permitidas. A escolha das posições vizinhas para onde a pedra poderá ser movimentada é feita com probabilidades iguais, dependendo do número de posições permitidas. Com base nessas informações, julgue os itens seguintes.
A matriz de probabilidade de transição tem 642 elementos, dos quais 112 são não nulos.

A figura acima ilustra um tabuleiro de xadrez, em que ai, j representa a casa do tabuleiro localizada na linha i e na coluna j. Uma pedra é inicialmente colocada na casa ai, j, uma das 64 casas do tabuleiro. Em seguida (passo 1), a pedra é movimentada, aleatoriamente, para uma das posições vizinhas: ai,1, j; ai + 1, j; ai, j - 1 ou ai, j + 1, e assim sucessivamente para os passos seguintes. Com isso, em cada passo, a pedra pode ser movimentada para uma das posições vizinhas permitidas. A escolha das posições vizinhas para onde a pedra poderá ser movimentada é feita com probabilidades iguais, dependendo do número de posições permitidas. Com base nessas informações, julgue os itens seguintes.
Se o movimento da pedra é iniciado na posição a1, 1, então a probabilidade de ela ser encontrada na posição a1, 8 depois do 7.o passo é igual a 

A figura acima ilustra um tabuleiro de xadrez, em que ai, j representa a casa do tabuleiro localizada na linha i e na coluna j. Uma pedra é inicialmente colocada na casa ai, j, uma das 64 casas do tabuleiro. Em seguida (passo 1), a pedra é movimentada, aleatoriamente, para uma das posições vizinhas: ai,1, j; ai + 1, j; ai, j - 1 ou ai, j + 1, e assim sucessivamente para os passos seguintes. Com isso, em cada passo, a pedra pode ser movimentada para uma das posições vizinhas permitidas. A escolha das posições vizinhas para onde a pedra poderá ser movimentada é feita com probabilidades iguais, dependendo do número de posições permitidas. Com base nessas informações, julgue os itens seguintes.
Depois de um grande número de passos, a probabilidade de a pedra estar em um dos vértices do tabuleiro é igual a 

A figura acima ilustra um tabuleiro de xadrez, em que ai, j representa a casa do tabuleiro localizada na linha i e na coluna j. Uma pedra é inicialmente colocada na casa ai, j, uma das 64 casas do tabuleiro. Em seguida (passo 1), a pedra é movimentada, aleatoriamente, para uma das posições vizinhas: ai,1, j; ai + 1, j; ai, j - 1 ou ai, j + 1, e assim sucessivamente para os passos seguintes. Com isso, em cada passo, a pedra pode ser movimentada para uma das posições vizinhas permitidas. A escolha das posições vizinhas para onde a pedra poderá ser movimentada é feita com probabilidades iguais, dependendo do número de posições permitidas. Com base nessas informações, julgue os itens seguintes.
Depois de um grande número de passos, a probabilidade de a pedra estar na posição 
Uma corporação é formada por uma empresa de mineração e uma empresa petrolífera. Considere que X represente as despesas mensais, em milhões de reais, com a recuperação de danos ao meio ambiente causados pela empresa de mineração e que Y represente as despesas mensais, também em milhões de reais, com a recuperação de danos ambientais causados pela empresa petrolífera. Considere, ainda, que X e Y sejam variáveis aleatórias cuja distribuição conjunta é dada por

Com base nessas informações, julgue os próximos itens.
A probabilidade conjunta P(X < 1, Y < 1) é inferior a 1%.
Uma corporação é formada por uma empresa de mineração e uma empresa petrolífera. Considere que X represente as despesas mensais, em milhões de reais, com a recuperação de danos ao meio ambiente causados pela empresa de mineração e que Y represente as despesas mensais, também em milhões de reais, com a recuperação de danos ambientais causados pela empresa petrolífera. Considere, ainda, que X e Y sejam variáveis aleatórias cuja distribuição conjunta é dada por

Com base nessas informações, julgue os próximos itens.
As despesas com a recuperação de danos ambientais das duas empresas são independentes.
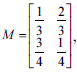
Considerando a matriz de transição
, julgue os próximos itens acerca de cadeias de Markov.
O vetor de distribuição do processo no limite estacionário é 
Considerando a matriz de transição
, julgue os próximos itens acerca de cadeias de Markov.
A matriz de probabilidades de transição no segundo passo é 

Todo processo de Markov com dois estados é duplamente estocástico.
{TITLE}
{CONTENT}
{TITLE}
Aguarde, enviando solicitação...