Lista completa de Questões sobre Outros para resolução totalmente grátis. Selecione os assuntos no filtro de questões e comece a resolver exercícios.

Acerca dessa situação hipotética, julgue os itens que se seguem.
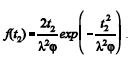
A distribuição da idade do trabalhador é 
Considere-se o modelo de séries temporais em tempo discreto na forma 
em que t representa o tempo,
 é o coeficiente do modelo e Wt representa um processo de choques aleatórios com média zero e variância 
 Com base nessas informações, julgue os itens seguintes, acerca da primeira diferença Xt - Xt - 1.                                 
A função de densidade espectral dessa diferença é 
Considere que X seja uma variável aleatória uniformemente distribuída no intervalo [0, 1]. Se X $ 0,6, então Y = 1. Se X < 0,6, então Y = 0. Um programa de computador gerou a seguinte seqüência de realizações independentes de X: 0,09 0,56 0,37 0,48 0,90. Considerando essas informações, julgue os itens subseqüentes.
Os valores transformados ![]()
representam uma seqüência de realizações independentes de uma distribuição exponencial.
                                 
A forma quadrática XNX segue uma distribuição conhecida como T2 de Hotelling.
Considere que uma amostra aleatória simples de n indivíduos a ser retirada de uma grande população seja representada por um vetor aleatório XT = (X1, X2 , ..., Xn)T, em que o índice sobrescrito T indica transposto. A média e o desvio padrão dessa população são iguais a  e 
, respectivamente. Considere também que U seja um vetor de dimensão n × 1 cujos elementos são todos unitários. Com base nessas informações, julgue os itens a seguir.
A inversa da matriz UUT é simétrica.
Com base em amostragens históricas, aplicáveis a modelos de longo prazo que cobrem previsões em um horizonte temporal grande, os analistas inferem distribuições que possibilitam uma generalização maior sobre os dados. Em relação a variáveis aleatórias e distribuições de probabilidade, julgue os itens a seguir. Distribuições tais como a triangular e uniforme são utilizadas com frequências e estimativas de impacto objetivas.
Com base em amostragens históricas, aplicáveis a modelos de longo prazo que cobrem previsões em um horizonte temporal grande, os analistas inferem distribuições que possibilitam uma generalização maior sobre os dados. Em relação a variáveis aleatórias e distribuições de probabilidade, julgue os itens a seguir. A distribuição triangular é indicada quando há poucos dados históricos e quando existe um valor máximo, um valor mínimo e um valor mais provável dentro dos limites dos valores mínimo ao máximo.
Define-se como a comparação de todas as entradas e saídas (fluxo de caixa) na data inicial do projeto descontando os retornos futuros do fluxo de caixa a uma taxa de juros K. Estamos falando do(a)

Com base nas informações apresentadas acima, e considerando que 
 representa a função de distribuição acumulada da distribuição normal padrão, julgue os itens de 41 a 50.
O erro padrão da renda média relativa à distribuição dos agricultores não-aderentes ao PRONAF é inferior a R$ 50,00.

Com base nas informações apresentadas acima, e considerando que 
 representa a função de distribuição acumulada da distribuição normal padrão, julgue os itens de 41 a 50.
O coeficiente de variação da distribuição da renda entre os aderentes é inferior ao coeficiente de variação da distribuição da renda entre os não-aderentes.
{TITLE}
{CONTENT}
{TITLE}
        Aguarde, enviando solicitação...