Lista completa de Questões de Física do ano 2007 para resolução totalmente grátis. Selecione os assuntos no filtro de questões e comece a resolver exercícios.
Relacione a 1ª coluna com a 2ª.

Assinale a opção que apresenta a seqüência CORRETA, de respostas, de cima para baixo.
Física - Teorias, Leis, Princípios e Propriedades Físicas de materiais - Fundação Sousândrade de Apoio ao Desenvolvimento da UFMA (FSADU) - 2007
Relacione a primeira coluna com a segunda.

Assinale a alternativa que contém a correspondência CORRETA encontrada.
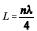
O esquema acima representa o funcionamento do ouvido humano, em que os sons externos produzem uma variação de pressão no ar, no interior do canal auditivo, fazendo a membrana (tímpano) vibrar. Esse sistema, que funciona de forma equivalente à propagação de ondas sonoras em tubos, possui uma das extremidades fechadas por uma membrana (tímpano). Desse modo, o ser humano pode ouvir apenas as freqüências sonoras cujos comprimentos de ondas λ satisfaçam a relação , em que L é o comprimento do canal auditivo e n é um número ímpar positivo. De acordo com esse modelo e assumindo-se que a velocidade do som é igual a 344 m/s e que L = 3,0 cm, conclui-se que a freqüência do primeiro harmônico, após o fundamental, que pode ser ouvido por um ser humano é igual a
A refração foi bastante estudada por Snell, que estabeleceu que a velocidade da luz diminui quando esta passa de um meio menos refringente para outro mais refringente. O princípio de funcionamento de vários instrumentos ópticos, como microscópicos, lentes e, inclusive, o olho humano, deve-se à refração da luz ao passar por meios refringentes diferentes. Os defeitos mais comuns da visão humana, tais como a miopia e a hipermetropia, são devidos a defeitos no sistema de refração do cristalino, que faz parte do olho. Esses defeitos podem ser corrigidos com lentes convergentes ou divergentes. A figura acima mostra a convergência do raio de luz em um olho míope. Sabendo-se que a visão normal é conseguida quando o foco dos raios de luz ocorre na retina, então é correto concluir que, para uma pessoa portadora de miopia corrigir seu problema de visão, ela deve utilizar lentes
{TITLE}
{CONTENT}
{TITLE}
Aguarde, enviando solicitação...