Lista completa de Questões de Engenharia Química do ano 2004 para resolução totalmente grátis. Selecione os assuntos no filtro de questões e comece a resolver exercícios.

O esquema acima mostra a fórmula estrutural da acetilcolina e dois tipos de representação de seus isômeros conformacionais, cujo metabolismo conduz à formação de substâncias distintas, que são ligantes específicos de receptores muscarínicos e nicotínicos. Considerando as informações do texto I e o esquema acima, julgue os itens que se seguem.
Na estrutura da acetilcolina, pode ser observada a função éter.

O esquema acima mostra a fórmula estrutural da acetilcolina e dois tipos de representação de seus isômeros conformacionais, cujo metabolismo conduz à formação de substâncias distintas, que são ligantes específicos de receptores muscarínicos e nicotínicos. Considerando as informações do texto I e o esquema acima, julgue os itens que se seguem.
Na estrutura da muscarina, os grupos -CH3 e -OH encontram-se em posição relativa cis.

O esquema acima mostra a fórmula estrutural da acetilcolina e dois tipos de representação de seus isômeros conformacionais, cujo metabolismo conduz à formação de substâncias distintas, que são ligantes específicos de receptores muscarínicos e nicotínicos. Considerando as informações do texto I e o esquema acima, julgue os itens que se seguem.
O confôrmero antiperiplanar é mais estável que o sinclinal.

O esquema acima mostra a fórmula estrutural da acetilcolina e dois tipos de representação de seus isômeros conformacionais, cujo metabolismo conduz à formação de substâncias distintas, que são ligantes específicos de receptores muscarínicos e nicotínicos. Considerando as informações do texto I e o esquema acima, julgue os itens que se seguem.


O esquema acima mostra a fórmula estrutural da acetilcolina e dois tipos de representação de seus isômeros conformacionais, cujo metabolismo conduz à formação de substâncias distintas, que são ligantes específicos de receptores muscarínicos e nicotínicos. Considerando as informações do texto I e o esquema acima, julgue os itens que se seguem.
Na estrutura da muscarina, existem somente três átomos de carbono quiral.

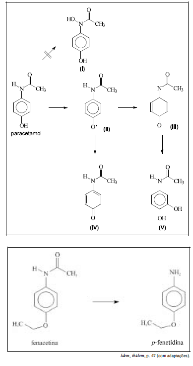
Os esquemas acima ilustram o metabolismo parcial de duas drogas: o paracetamol e a fenacetina. O estudo do metabolismo de um fármaco é importante, pois o conhecimento das possíveis substâncias formadas nas etapas de biotransformação fornece idéia dos possíveis efeitos colaterais e das substâncias a eles associadas, bem como dos virtuais marcadores moleculares da presença dessa droga no organismo.
No contexto do texto I, considerando as informações e os esquemas acima, julgue os itens a seguir.
Entre todos os compostos apresentados em ambos os esquemas, apenas o composto III não forma ligações de hidrogênio intermoleculares entre suas moléculas.

Os esquemas acima ilustram o metabolismo parcial de duas drogas: o paracetamol e a fenacetina. O estudo do metabolismo de um fármaco é importante, pois o conhecimento das possíveis substâncias formadas nas etapas de biotransformação fornece idéia dos possíveis efeitos colaterais e das substâncias a eles associadas, bem como dos virtuais marcadores moleculares da presença dessa droga no organismo.
No contexto do texto I, considerando as informações e os esquemas acima, julgue os itens a seguir.
O paracetamol é mais ácido que o composto V.

Os esquemas acima ilustram o metabolismo parcial de duas drogas: o paracetamol e a fenacetina. O estudo do metabolismo de um fármaco é importante, pois o conhecimento das possíveis substâncias formadas nas etapas de biotransformação fornece idéia dos possíveis efeitos colaterais e das substâncias a eles associadas, bem como dos virtuais marcadores moleculares da presença dessa droga no organismo.
No contexto do texto I, considerando as informações e os esquemas acima, julgue os itens a seguir.
Na rota metabólica do paracetamol, a aromaticidade do sistema inicial é mantida em todas as fases apresentadas.

Os esquemas acima ilustram o metabolismo parcial de duas drogas: o paracetamol e a fenacetina. O estudo do metabolismo de um fármaco é importante, pois o conhecimento das possíveis substâncias formadas nas etapas de biotransformação fornece idéia dos possíveis efeitos colaterais e das substâncias a eles associadas, bem como dos virtuais marcadores moleculares da presença dessa droga no organismo.
No contexto do texto I, considerando as informações e os esquemas acima, julgue os itens a seguir.
A fenacetina é mais básica que a p-fenetidina.

Os esquemas acima ilustram o metabolismo parcial de duas drogas: o paracetamol e a fenacetina. O estudo do metabolismo de um fármaco é importante, pois o conhecimento das possíveis substâncias formadas nas etapas de biotransformação fornece idéia dos possíveis efeitos colaterais e das substâncias a eles associadas, bem como dos virtuais marcadores moleculares da presença dessa droga no organismo.
No contexto do texto I, considerando as informações e os esquemas acima, julgue os itens a seguir.
Todos os substituintes ligados ao anel da fenacetina e da p-fenetidina são considerados orientadores orto/para em reações de substituição eletrofílica aromática.
{TITLE}
{CONTENT}
{TITLE}
Aguarde, enviando solicitação...