Lista completa de Questões sobre Média para resolução totalmente grátis. Selecione os assuntos no filtro de questões e comece a resolver exercícios.
Uma amostra aleatória simples X1, X2, ..., X16, de tamanho 16, de uma distribuição normal foi observada e indicou as seguintes estatísticas:

O intervalo usual de 95% de confiança para a média populacional, com duas casas decimais, é:
(3,58 , 5,22).
(3,47 , 5,33).
(3,33 , 5,47).
(3,19 , 5,61).
(3,01 , 5,81).
Considere o seguinte quadro de distribuição de freqüência de dados relativos a uma variável fictícia.

Sobre esta distribuição, pode-se afirmar, corretamente, que a média, a variância e o desvio padrão são, respectivamente,
Em uma prova de Matemática as notas de 7 alunos tiveram a seguinte distribuição: 4,0; 4,5; 5,5; 5,5; 7,5; 7,5; 7,5. A respeito dessa distribuição, julgue os itens que se seguem.
A média aritmética desta distribuição é igual a 6.
Os números x, y e z estão, nessa ordem, em progressão aritmética de razão 3 e os números x, z e w estão, nessa ordem, em progressão geométrica de razão 4. Com relação a essa situação, julgue os itens que se seguem.
A média aritmética entre os números x, y e z é igual a 5.
Os números x, y e z estão, nessa ordem, em progressão aritmética de razão 3 e os números x, z e w estão, nessa ordem, em progressão geométrica de razão 4. Com relação a essa situação, julgue os itens que se seguem.
A média geométrica entre os números x, z e w é igual a 9.

Com base nessas informações e considerando que o valor 100 é representado nesses diagramas como 10|0, julgue os itens que se seguem.
Caso a soma dos tempos X seja igual a 1.261 minutos, então a média aritmética da distribuição dos tempos X será inferior a 1 hora.

A tabela acima contém um conjunto de dados formado por quatro variáveis: RG; gênero ( M = masculino; F = feminino); grau de instrução (1 = analfabeto; 2 = fundamental incompleto; 3 = fundamental completo; 4 = médio incompleto; 5 = médio completo ou superior); e hiperatividade (S = sim; N = não). Com base nessa tabela, julgue os itens seguintes.
A média da variável grau de instrução possui significado estatístico; mas não o cálculo da média da variável RG.

Com base nessas informações, julgue os itens de 105 a 108.
A proporção esperada de alunos aprovados na disciplina será maior se a média da turma diminuir.

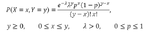
A respeito da distribuição conjunta (XY), de variáveis aleatórias discretas, apresentada acima, julgue os itens a seguir.
O valor esperado de X é negativo.
Considere que os 5 países citados na tabela integrem a "relação de 30 países" referida no texto e que o preço do megawatt/hora para a indústria em cada um desses 30 países seja diferente daquele para os demais. Nessa situação, as informações apresentadas são suficientes para se afirmar corretamente que o preço do megawatt/hora para a indústria, na Dinamarca, é
superior a 236 dólares.
inferior a 236 dólares e superior a 150 dólares.
inferior a 150 dólares e superior a 140 dólares.
inferior a 140 dólares.
{TITLE}
{CONTENT}
{TITLE}
Aguarde, enviando solicitação...