Lista completa de Questões de Matemática da Fundação Getúlio Vargas (FGV) para resolução totalmente grátis. Selecione os assuntos no filtro de questões e comece a resolver exercícios.
Quanto vale a soma 




Em uma caixa havia chocolates. João abriu a caixa e comeu um terço dos chocolates que encontrou. Pedro chegou em seguida e comeu metade dos chocolates que encontrou. Sobraram 5 chocolates. Podemos concluir que a quantidade de chocolates que João comeu foi:
5
8
10
12
15
Um carro faz 8km com um litro de gasolina. Se o preço do litro de gasolina é de R$ 2,50, quanto gastaremos de gasolina para fazer uma viagem de 400km?
R$ 12,50
R$ 25,00
R$ 50,00
R$ 125,00
R$ 250,00
Quantos mililitros há em um milímetro cúbico?





A taxa efetiva anual correspondente a 40% ao ano com capitalização semestral é:
40%
42%
44%
48%
56%
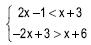
As soluções simultâneas das inequações são os valores reais de x tais que:
x > 4
x < 4
x < −1
−1 < x < 4
x < −1 ou x > 4
Quantos dias há de 18 de janeiro de 2004 (inclusive) a 2 de maio de 2004 (inclusive)?
103
104
105
106
107
Em uma prova de 20 questões, o candidato recebe 4 pontos por cada resposta certa e perde 1 ponto por cada questão não respondida corretamente. André obteve 20 pontos. Qual seria a nota de André, se cada resposta certa valesse 6 pontos e cada resposta errada fizesse com que ele perdesse 2 pontos?
12
16
20
22
24
Sabendo que log2 0,30, assinale a melhor aproximação da solução da equação 2x = 80.
6,1
6,3
6,5
6,6
6,7
Em certa cidade, o preço de uma corrida de táxi é formado por duas parcelas: uma fixa, chamada de bandeirada, e outra proporcional à distância percorrida. O preço da bandeirada aumentou de 20% e o preço do quilômetro rodado aumentou de 10%, o que fez com que uma corrida que custava R$ 10,00 passasse a custar R$ 11,50. Quanto passará a custar uma corrida que custava R$ 26,00?
R$ 28,60
R$ 29,10
R$ 29,60
R$ 29,90
R$ 31,20
{TITLE}
{CONTENT}
{TITLE}
Aguarde, enviando solicitação...