Lista completa de Questões de Matemática da Núcleo de Computação Eletrônica UFRJ (NCE) para resolução totalmente grátis. Selecione os assuntos no filtro de questões e comece a resolver exercícios.
Um milionário sem herdeiros dividiu em testamento sua fortuna apenas para dois amigos: um deveria receber metade da metade da fortuna, e o outro, o restante. Esse segundo amigo receberá uma quantia que é seguinte número de vezes maior do que a do primeiro:
Maria escreveu, numa folha de papel, uma primeira linha só com o número 1, depois escreveu uma segunda linha com os números 1 e 2, depois uma terceira linha com 1, 2 e 3 e assim sucessivamente, como ilustrado a seguir:
1
1 2
1 2 3
1 2 3 4
1 2 3 4 5
.......
.......
Ao todo, Maria escreveu dez linhas de números. A soma de todos os números escritos por Maria é igual a:
Na seqüência a seguir, cada número, a partir do terceiro, é obtido pela soma dos dois anteriores:
10 , 12 , 22 , 34 , 56 O próximo número é:Joaninha e Maricota estão fazendo, juntas, uma coleção de estampas. Desde o primeiro dia, para cada estampa que Joaninha adiciona à coleção, Maricota adiciona duas. Nesse caso, o total de estampas que a coleção já tem é um número divisível por:
Maria escreveu, numa folha de papel, uma primeira linha só com o número 1, depois escreveu uma segunda linha com os números 1 e 2, depois uma terceira linha com 1, 2 e 3 e assim sucessivamente, como ilustrado a seguir:
1
1 2
1 2 3
1 2 3 4
1 2 3 4 5
.......
Ao todo, Maria escreveu dez linhas de números. A soma dos números da décima linha é igual a:Comecei uma coleção de bolinhas de gude há quatro dias, comprando uma certa quantidade de bolinhas. No dia seguinte, comprei a mesma quantidade que na véspera; anteontem, comprei a mesma quantidade que nos dois dias anteriores e ontem, a mesma coisa. Hoje, já comprei novamente a mesma quantidade diária de bolinhas e estou com 140 bolinhas no total. A quantidade diária de bolinhas que tenho comprado é igual a:
Fui com um amigo comer um pizza num restaurante. A conta foi de R$36,00 e decidimos dividir meio-a-meio, ou seja, cada um de nós deveria dar a metade. Como eu só tinha R$10,00, meu amigo completou o valor da conta. Fiquei então devendo a ele a seguinte quantia:

x < y < z;
x < z < y;
y < x < z;
z < x < y;
z < y < x.
Se x = , y = e z = então:
x < y < z;
x < z < y;
y < x < z;
z < x < y;
z < y < x.
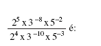
O resultado de é:
2/45;
6;
30;
48;
90.
{TITLE}
{CONTENT}
{TITLE}
Aguarde, enviando solicitação...