Lista completa de Questões de Matemática da Fundação para o Vestibular da Universidade Estadual Paulista (VUNESP) para resolução totalmente grátis. Selecione os assuntos no filtro de questões e comece a resolver exercícios.
Matemática - Cálculo Aritmético - Fundação para o Vestibular da Universidade Estadual Paulista (VUNESP) - 2006
Na maquete de uma praça pública construída na escala 1:75, o edifício da prefeitura, de 13,5 m de altura, está representado com uma altura de
Matemática - Geometria - Fundação para o Vestibular da Universidade Estadual Paulista (VUNESP) - 2006
Sabendo-se que a área do quadrado ABCD é 169 m², pode-se afirmar que o valor de x é
2 m.
3 m.
5 m.
8 m.
13 m.
Matemática - Geometria - Fundação para o Vestibular da Universidade Estadual Paulista (VUNESP) - 2006
Na figura, os quadrados menores têm, cada um, 8 cm² de área. O comprimento do lado AB é
cm.
2 cm.
4 cm.
3 cm.
2 cm.
Matemática - Cálculo Aritmético - Fundação para o Vestibular da Universidade Estadual Paulista (VUNESP) - 2006
Uma torneira A enche um tanque em 6 horas.Uma torneira B enche o mesmo tanque em 4 horas.
Um ralo esvazia o tanque em 3 horas. Se abrirmos as duas torneiras e o ralo ao mesmo tempo, conseguiremos encher o tanque em
5 horas.
7 horas.
10 horas.
12 horas.
13 horas.
Matemática - Cálculo Aritmético - Fundação para o Vestibular da Universidade Estadual Paulista (VUNESP) - 2006
Escrevendo-se por extenso o resultado da expressão 2,5 x 104, tem-se:
duzentos e cinqüenta.
vinte e cinco mil.
duzentos e cinqüenta mil.
vinte e cinco milhões.
duzentos e cinqüenta milhões.
Matemática - Cálculo Aritmético - Fundação para o Vestibular da Universidade Estadual Paulista (VUNESP) - 2006
A figura mostra uma torta dividida em partes iguais.Sabendose que a torta inteira custa R$ 48,00, dois terços de uma dessas partes vale

R$ 2,00.
R$ 3,00.
R$ 4,00.
R$ 6,00.
R$ 8,00.
Matemática - Cálculo Aritmético - Fundação para o Vestibular da Universidade Estadual Paulista (VUNESP) - 2006
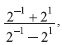
Efetuando-se
obtém-se:
1
0
–2.
–5/3.
–3/5.
Matemática - Cálculo Aritmético - Fundação para o Vestibular da Universidade Estadual Paulista (VUNESP) - 2006
Na fórmula F = x³ –2x² + 5x + 2, se x = –1/2, então o valor de F – 1, é
–1 1/8.
–2 1/8.
–3 1/8.
1/8.
2 1/8.
Matemática - Cálculo Aritmético - Fundação para o Vestibular da Universidade Estadual Paulista (VUNESP) - 2006
Um vigilante sanitário deveria visitar todos os terrenos baldios constantes em sua lista. Pela manhã, ele fez 1/3 das visitas programadas, à tarde, conseguiu fazer 3/5 das restantes. A fração que representa o serviço que ainda precisa ser feito é:
2/3
3/5.
1/2.
4/15.
1/15.
Certo plano de saúde emite boletos para pagamento bancário com as seguintes condições:
{TITLE}
{CONTENT}
{TITLE}
Aguarde, enviando solicitação...