Questões sobre Estimação e Intervalo de Confiança

Lista completa de Questões sobre Estimação e Intervalo de Confiança para resolução totalmente grátis. Selecione os assuntos no filtro de questões e comece a resolver exercícios.

Uma pesquisa baseada em 200 eleitores revelou que 55% votariam no candidato "A" se a eleição fosse realizada naquele momento. Com nível de confiança de 95%, qual a margem de erro ( e ) da pesquisa, e qual seria o tamanho da amostra ( n ) recomendado para uma margem de erro de 5%?

  • A.

    e = 5,0%; n= 250

  • B.

    e = 5,5%; n= 400

  • C.

    e = 5,8%; n= 266

  • D.

    e = 6,9%; n= 380

Para determinação do tamanho da amostra o modelo estatístico deve considerar os seguintes elementos:

 

Estão corretas as associações:

  • A. I e III.
  • B. I e II.
  • C. II e III.
  • D. III e IV.

Em uma pesquisa de opinião, deseja-se avaliar se o percentual da população de uma cidade favorável a determinado projeto de preservação ambiental é superior a 90%. Para isso, colheu-se uma amostra aleatória de 100 habitantes, dos quais 84 foram favoráveis e os demais foram contrários.

Em face dessa situação hipotética, julgue os itens que se seguem.

Com 95% de confiança, o percentual da população dessa cidade favorável ao projeto de preservação ambiental está entre 86% e 96%.

  • C. Certo
  • E. Errado

Em uma pesquisa de opinião, deseja-se avaliar se o percentual da população de uma cidade favorável a determinado projeto de preservação ambiental é superior a 90%. Para isso, colheu-se uma amostra aleatória de 100 habitantes, dos quais 84 foram favoráveis e os demais foram contrários.

Em face dessa situação hipotética, julgue os itens que se seguem.

A estimativa do erro-padrão da proporção amostral de pessoas favoráveis ao projeto de preservação ambiental é menor ou igual a 0,05.

  • C. Certo
  • E. Errado

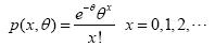
Para uma amostra de tamanho 30 da distribuição de Poisson

encontrou-se soma 12 para os itens amostrais. Assinale a opção que corresponde à estimativa de máxima verossimilhança da probabilidade da Poisson se anular.

  • A.
  • B.
  • C.
  • D.
  • E.

Um auditor deseja estimar a proporção p de contas incorretamente contabilizadas no processo contábil de uma instituição financeira. Neste contexto decide tomar uma amostra aleatória de tamanho n das contas e estimar p usando a proporção amostral de contas incorretamente contabilizadas. O auditor considera a população de contas infinita e que a proporção amostral tenha distribuição aproximadamente normal com expectância p e variância p(1-p)/n. Supondo variância máxima e que a função de distribuição da normal padrão, assinale a opção que dá o valor de n que o auditor deve tomar para estimar p com erro não superior a 5% para mais ou para menos com nível de confiança de 95%.

  • A. 100
  • B. 200
  • C. 400
  • D. 500
  • E. 130

As questões 22 e 23 baseiam-se no enunciado seguinte:

Um investigador está interessado em estudar a função consumo de um determinado setor da economia. Com base em seu conhecimento de Teoria Econômica postula que o consumo (C) de interesse deve variar com a renda real percapita do país (R) e com um relativo de preços (P) do setor. Neste contexto observa uma série de 17 observações nessas variáveis ao longo do tempo, obtendo uma seqüência de realizações Ct, Rt e Pt que satisfazem o modelo log-linear log (Ct )=a+b log (Rt)+ dlog(Pt)+vt. Nesta expressão o log é tomado na base neperiana, a, b e  são parâmetros desconhecidos e os vtsão erros não correlacionados, normalmente distribuídos com média zero e variância constante s2>0. Alguns resultados do ajuste desse modelo pelo método de mínimos quadrados são apresentados a seguir:

Tabela de Análise da Variância

Assinale a opção que dá a estimativa da variação esperada em log (C) decorrente do decréscimo de duas unidades no log (P) e do aumento de uma unidade no log (R).

  • A. 1,97
  • B. 2,8
  • C. 2,0
  • D. 1,0
  • E. 3,0

A função de verossimilhança para uma amostra aleatória de tamanho n de uma distribuição de probabilidades dependente de um parâmetro real θ vem dada por

onde m > 0 é a média das observações amostrais e b é a menor observação amostral. Assinale a opção que corresponde a estimativa de máxima verossimilhança de θ.

  • A.

    nm

  • B.

    b

  • C.

    m

  • D.

    nb

  • E.

    m/b

Uma variável aleatória X tem distribuição normal com média desconhecida μ e variância 1. Assinale a opção que dá a amplitude do menor intervalo de confiança para μ, no nível de 96%, para uma amostra de X de tamanho 16. Use no cálculo a tabela da função de distribuição da normal padrão apresentada na Questão 38.

  • A.

    4,0

  • B.

    1,0

  • C.

    2,2

  • D.

    3,2

  • E.

    5,0

Provas e Concursos

O Provas e Concursos é um banco de dados de questões de concursos públicos organizadas por matéria, assunto, ano, banca organizadora, etc

{TITLE}

{CONTENT}

{TITLE}

{CONTENT}
Provas e Concursos
0%
Aguarde, enviando solicitação!

Aguarde, enviando solicitação...