Lista completa de Questões de Estatística da Fundação Universa (FUNIVERSA) para resolução totalmente grátis. Selecione os assuntos no filtro de questões e comece a resolver exercícios.
Considere as seguintes informações acerca da população de um município.
- o número de habitantes em 1.º de janeiro de 2008 era de 150.000;
- o número de habitantes em 31 de dezembro desse mesmo ano era de 200.000;
- o número de óbitos entre 1.º de janeiro e 31 de dezembro foi de 3.500.
Com base nessas informações, assinale a alternativa que apresenta a taxa bruta de mortalidade para cada 1.000 habitantes. (A)
2
4
20
40
200
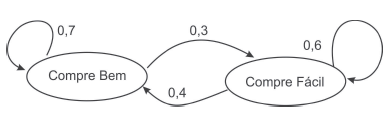
Karla mora perto de dois supermercados (Compre Bem e Compre Fácil) e costuma fazer compras semanalmente, sempre em busca de promoções que são oferecidas pelos dois estabelecimentos. O esquema seguinte mostra a probabilidade de Karla comprar no dia seguinte em cada um desses supermercados.

Se a probabilidade de que Karla vá ao supermercado Compre Bem hoje é de 20%, a probabilidade incondicional de ela voltar a esse mercado amanhã é de
0,06.
0,14.
0,46.
0,49.
0,70.
Texto IV, para responder às questões de 49 a 51.

Com relação à solução apontada pela tabela, é correto afirmar que há sobra do(s) recurso(s)
1.
2.
3.
1 e 2.
1 e 3.
Texto IV, para responder às questões de 49 a 51.

O valor máximo que pode ser dado ao coeficiente de x3 na função-objetivo, para que a solução encontrada no quadro acima continue a ser a solução ótima, é
3,75.
5,25.
8,25.
11,25.
24,75.
Texto IV, para responder às questões de 49 a 51.

De quanto o lucro aumentaria, caso fosse possível dispor de mais 1 unidade do recurso 2?
0
0,30
1,75
2,25
3,30
Estatística - Variância / Variância Amostral / Variância Absoluta - Fundação Universa (FUNIVERSA) - 2010
A variância de uma amostra é a média dos quadrados dos desvios dos valores a contar da média, calculada usando-se n + 1 em lugar de

A média aritmética de um conjunto de dados é a soma de todos os valores dividida pelo número total de itens. Para o conjunto de valores apresentados pelos licitantes, a média aritmética, em R$, é

A mediana de um conjunto de dados é uma medida de tendência central cuja característica principal é a divisão do conjunto em dois grupos com mesmo número de valores cada. O primeiro grupo apresenta valores inferiores à mediana e o segundo, valores superiores. Para o conjunto de dados apresentados, o valor da mediana é, em R$,

A moda de um conjunto de dados é o valor que aparece com maior frequência. Para o conjunto de dados apresentados, o valor da moda é, em R$,

Entre os métodos de amostragem existentes, assinale a alternativa correta.
{TITLE}
{CONTENT}
{TITLE}
Aguarde, enviando solicitação...